Contactez-nous
- Bâtiment n°3, 516 Renhe Aveneu, district de Yuhang, Hangzhou, Zhejiang 311107, PRCHINA
- +86-572-2165030

Acétate de gonadorelin
CAS no.: 34973-08-5
Einecs: 683-628-3
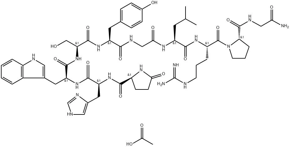
Synonymes: acétate de gonadorelin; Gonadoreline acétate / GnRH; Gonadorelin (2 mg); Acétate de gonadereline; (2s) -n - [(2s) -1- [[(2S) -1- [[2S) -1- [[(2S) -1- [[{{12 } } [((2S) -1- [[(2S) -1- [(2S) -2- [((2- amino -2- ox oethyl) amino] -oxométhyl] -1- pyrrolidinyl] -5- (diaminométhylideneneamino) -1- oxopentan -2- yl] amino] -4- méthy;
MF : C57H79N17O15
MW : 1242.36
Point de fusion: 155 degrés
Séquence:
Pyr-his-trp-ser-tyr-dphe-leu-arg-pro-nhet
Description
Personnage
Poudre blanche à la baisse, sans odor, dissoute dans l'eau
Dosage: 99% min
Introduction du produit
|
Champ de candidature |
L'acétate de gonadoreline est utilisé dans diverses études agricoles et biologiques. Il a été utilisé pour étudier la synchronisation de l'ovulation chez les vaches laitières. La GnRH synthétique (chlorhydrate de gonadoreline [Factrel]) est commercialisée à des fins de diagnostic afin de différencier les défauts hypothiques et hypothalamiques chez les patients atteints de puberté retardée et d'hypogonadisme hypogonadotrope. La GnRH synthétique (acétate de gonadoreline [Lutrepulse]) est commercialisée pour le traitement des femmes infertiles qui sont anovulatoires et ont une carence en GnRH. |
|
Brief |
La gonadoreline est un décapeptide synthétique avec une structure identique à l'hormone de libération naturelle naturelle de la gonadotrophine (GN-RH) chez les espèces de mammifères. La gonadoreline est recommandée pour le traitement des troubles de la reproduction associés aux kystes ovariens et pour l'amélioration de la fertilité chez les vaches et pour l'induction de l'ovulation chez le lapin. Le mécanisme d'action sous-jacent à l'utilisation thérapeutique est la stimulation de la libération de et également la synthèse de LH et FSH dans la glande pituitaire antérieure. |
|
Emballer |
1gram ou 10gram / bouteille, ou selon les besoins du client |
|
Conditions de stockage |
2-8 degré; stocker dans un emballage à l'origine scellé dans un endroit frais et sec |
|
Durée de conservation |
2 ans |
Pourquoi nous choisir?
Nos produits sont formulés pour répondre aux besoins de tous les types de peau.
Nous défendrons l'esprit d'entreprise de "l'honnêteté, le dévouement, l'efficacité et l'innovation", concentrerons nos efforts, surmonter les difficultés, façonner continuellement les avantages de l'entreprise, améliorer la compétitivité et accélérer le rythme du développement.
En tant que fournisseur et fabricant, nous offrons des prix compétitifs.
Nous faisons du bon travail dans les salaires et le bien-être en fonction des exigences du système d'entreprise moderne, formulent les politiques de distribution avec effet incitatif et coordonnent les relations de gestion du travail.
Nos ingrédients sont formulés pour être compatibles avec différents niveaux de pH.
Nous avons la chance d'être dans la vague du développement économique en Chine et dans le monde, enracinée dans l'industrie, et nous nous sommes engagés à créer des bêtise de haute qualité, à faible coût, économique et respectueuse de l'environnement (1,3) -D- Glucan CAS no. 9012-72-0
Notre entreprise a une expérience en fournissant des livraisons fiables et opportunes.
L'entreprise adhère toujours au principe de «l'honnêteté, la qualité de la vie, l'innovation en tant que sujet, orienté vers le développement», respecte l'engagement de qualité envers les utilisateurs, prête attention à l'introduction de talents, afin d'offrir les meilleurs produits aux clients Autour du monde.
Nos produits sont soigneusement testés et inspectés avant de quitter l'usine.
Nous adhérons toujours au principe de l'efficacité d'abord et prenons d'abord le chemin du développement de haute qualité.
FAQ
étiquette à chaud: Gonadorelin Acétate, Chine fabricants d'acétate de gonadorelin, fournisseurs, usine, peptides naturels, Nouveaux peptides, équipement des peptides, Connaissances des peptides, Peptides Contrôle de la qualité, expédition des peptides
Vous pourriez aussi aimer











